污水集水池设计知识点总结

污水集水池设计知识点总结

节主要讲解内容有:①集水池容积计算;②集水池设计最高、最低水位;③集水池注意事项;④水泵选择;⑤出水设施。其中集水池部分的设计内容是重点内容,需要大家着重掌握。


01、集水池容积计算


根据《室外排水设计规范》5.3.1条规定,集水池的容积,应根据设计流量、水泵能力和水泵工作情况等因素确定,并应符合下列规定。


1.污水泵站集水池的容积,不应小于最大一台水泵5min的出水量。(注:如果水泵机组为自动控制时,每小时开动水泵不得超过6次);


2.雨水泵站集水池的容积不应小于最大一台水泵30s的出水量;


3.合流污水泵站集水池的容积,不应小于最大一台水泵30s的出水量;


4.污泥泵房集水池的容积,应按一次排入的污泥量和污泥泵抽送能力计算确定。活性污泥泵房集水池的容积,应按排入的回流污泥量、剩余污泥量和污泥泵抽送能力计算确定。


1


集水池有效容积图示:1最高水位;2最低水位;H有效水深


而对于集水池容积计算公式,对于不同的控制形式时有不同的计算方法,整体分为人工控制和自动控制两种方式。


①当为人工控制时的集水池容积计算公式:V=TQ,其中Q为设计流量,T(停留时间)的取值要看该泵站是污水泵站还是雨水泵站(或合流泵站),污水泵站时T≥5min,雨水泵站(合流泵站)时T≥30s。


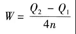
②当为自动控制时的集水池容积计算公式:


2


泵站一级工作时


3


泵站二级工作时


V——集水池容积(立方米);


Q0——泵站一级工作时泵的出水量(立方米每小时);


Q1、Q2——泵站分级工作时,一级与二级工作泵的出水量(立方米每小时);


n——泵每小时的启动次数,n=6。


02、集水池设计最高、最低水位


多孔射流-双LOGO

多孔射流曝气器无需排水、无需拆除填料即可安装 

非常适合有填料的接触氧化池使用


根据《室外排水设计规范》5.3.4条规定,雨水泵站和合流污水泵站集水池的设计最高水位,应与进水管管顶相平,当设计进水管道为压力管道时集水池的设计最高水位可高于进水管管顶,但不得使管道上游地面冒水。


《室外排水设计规范》5.3.5条规定,污水泵站集水池的设计最高水位,应按进水管充满度计算。


《室外排水设计规范》5.3.6条规定,集水池的设计最低水位,应满足所选进水泵吸水头的要求。自灌式泵房尚应满足水泵叶轮浸没深度的要求。


4


雨水泵站、合流污水泵站集水池有效容积示意图


5


污水泵站集水池有效容积示意图


03集水池注意事项


关于集水池的注意事项,《室外排水设计规范》中5.3.7规定:泵房应采用正向进水,应考虑改善水泵吸水管的水利条件,减少滞留或涡流。


关于这一条款的理解,泵房正向进水是使水流顺畅,流速均匀的主要条件。侧向进水易形成集水池下游端的水泵吸水管处水流不稳,流量不均,对水泵运行不利,故应避免。由于进水条件对泵房运行极为重要,必要时,15立每秒以上泵站宜通过水力模型试验确定进水布置方式;5~15立每秒泵站宜通过数学模型计算确定进水布置方式。

0001

多孔射流曝气器在不排水不拆除填料情况下的安装现场


《室外排水设计规范》第5.3.8条规定:泵站集水池前,应设置闸门或闸槽,泵站宜设置事故排出口,污水泵站和合流泵站设置事故排出口应报有关部门批准。


这一条主要是为了便于清洗集水池或检修水泵,泵站集水池前应设闸门或闸槽。泵站前宜设事故排出口,供泵站检修使用,为防止水污染和保护环境,规定设置事故排出口应报有关部门批准。


《室外排水设计规范》第5.3.11条规定:集水池应设冲洗装置,宜设清泥设施。


04、水泵选择


《室外排水设计规范》5.4.1规定,水泵的选择应根据设计流量和所需扬程等因素确定,且应符合下列要求:


1.水泵宜选用同一型号,台数不应少于2台,不宜大于8台。当水量变化很大时,可配置不同规格的水泵,但不宜超过两种,或采用变频调速装置,或采用叶片可调节式水泵。


2.污水泵房和合流污水泵房应设备用泵,当工作泵(注意是工作泵)台数不大于4台时,备用泵宜为1台。工作泵台数不小于5台时,备用泵宜为2台,潜水泵房备用泵为2台时,可现场备用1台,库存备用1台,雨水泵房可不设备用泵。立交道路的雨水泵房可视泵房重要性设置备用泵。


根据以上规定,可以总结出,影响污水、合流泵房备用泵的因素为:地区的重要性、泵房的特殊性、工作泵的型号、工作泵台数、水泵制造质量。


6


污水泵备用相关总结


《室外排水设计规范》5.4.2规定,选用的水泵宜在满足设计扬程时在高效区运行,在最高工作扬程与最低工作扬程的整个工作范围内应能安全稳定运行,2台以上水泵并联运行合用一根出水管时,应根据水泵特性曲线和管路工作特性曲线验算单台水泵工况,使之符合设计要求。


7


两台相同水泵的并联运行


<p style="margin-top: 0px; margin-bottom: 0px; padding: 0px; max-width: 100%; clear: both; min-height: 1em; color: rgb(51, 51, 51); font-family: -apple-system-font, BlinkMacSystemFont, "Helvetica Neue", "PingFang SC", "Hiragino Sans GB", "Microsoft YaHei UI", "Microsoft YaHei", Arial, sans-serif; font-size: 17px; letter-spacing: 0.544px; text-align: justify; white-space: normal; background-color: rgb(255, 255, 255); box-sizing: border-box !impo